Eladó felújított ház Nyíregyháza
| Kedvencbe | Megosztás | Árfigyelő |
| FIX 3% lakáshitelre megvehető | ||
| | 119 900 000 HUF | |
Ingatlan adatai
- Eladó vagy kiadó:Eladó
- Település:Nyíregyháza
- Kategória:Ház
- Alkategória:Sorház
- Alapterület:137 m2
- Telekterület:150 m2
- Csere is:Nem
- Hirdető:Cég
- Élő videón megtekinthető:Nem
- Építés éve:1986
- Szobaszám:4
- Állapot:Felújított
- Hány szintes az ingatlan:2 szintes
- Tetőtér:nincs megadva
- Komfortosság:nincs megadva
- Pince:Van
- Parkolási lehetőség:Garázsban
- Fűtés:nincs megadva
- Bútorozottság:nincs megadva
- Fényviszony:nincs megadva
- Tájolás:nincs megadva
- Kilátás:nincs megadva
- Internet:nincs megadva
- Akadálymentesített:nincs megadva
- Energiatanúsítvány:nincs megadva
- Villany:Van
- Víz:Van
- Gáz:Van
- Csatorna:Van
- Közös költség:8 700 Ft
- Üzenetküldés
- Hívás


Hitel ajánlat
Ingatlan hirdetés leírása
Kertvárosi álomház Nyíregyházán – felújított otthon Korányi‑ke...
Rövid bevezetőNyíregyházán, a Korányi‑kertváros egyik legkeresettebb részén, a Tölgyes erdő közelében eladó egy teljes körűen, prémium minőségben átépített és felújított, 2 szintes, kertkapcsolatos, szélső sorházi lakás garázzsal, fedett kerti pavilonnal és számos extra kényelmi megoldással. Az ingatlan azonnal költözhető, ideális választás igényes családoknak, akik modern, kész otthont keresnek rendezett, csendes kertvárosi környezetben.
Főbb paraméterek
Lokáció: Nyíregyháza, Korányi‑kertváros, Tölgyes erdő közelében, kertvárosias környezetben
Ingatlantípus: szélső sorházi lakás, 2 szintes
Állapot: teljes körűen, prémium minőségben felújított
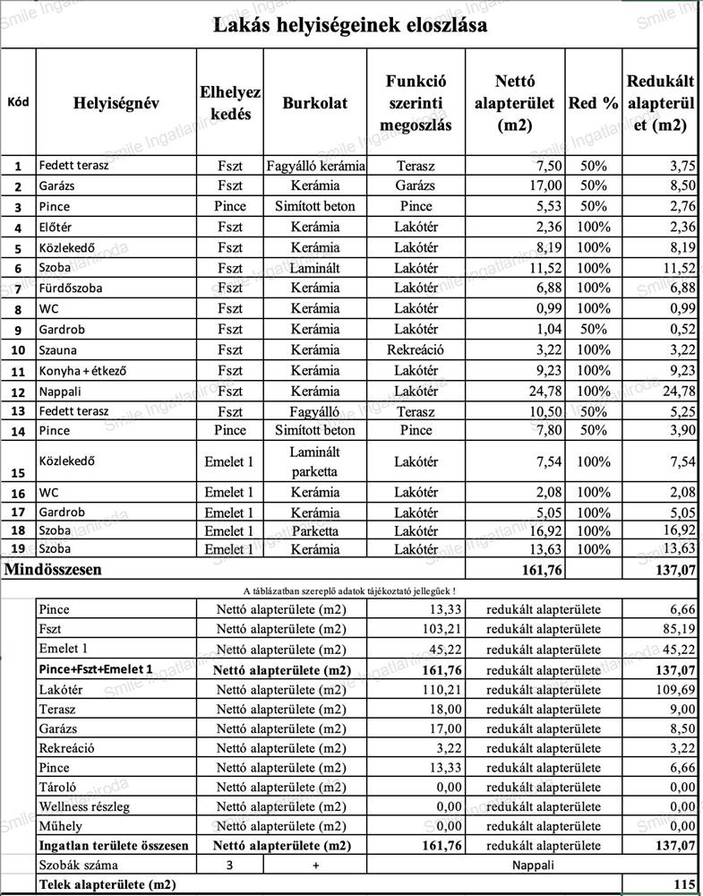
Nettó alapterület: 161, 76 m²
Redukált alapterület: 137, 07 m²
Lakótér: 113, 07 m²
Telek: cca. : 150 M², oldalsó és hátsó kertkapcsolattal
Szobaszám: 3 szoba + amerikai konyhás nappali
Fürdő/WC: 1 zuhanyzós fürdőszoba + 2 külön WC
Parkolás: 17 m²‑es garázs elektromos kapuval, fedett gépkocsi beálló, utcai parkoló
Közös költség: 8 700 Ft/hó
Helyiségelosztás
Földszint
- Fedett terasz (kertkapcsolattal)
- 17 m²‑es garázs elektromos kapuval
- Pincehelyiség
- Előtér, közlekedő
- Szoba
- Fürdőszoba
- WC
- Gardrób
- Szauna
- Amerikai konyhás nappali, étkező
- Hátsó, fedett terasz a kert felé
Emelet
- Közlekedő
- Külön WC
- Gardrób
- 2 tágas hálószoba
Kert és melléképület
- Parkosított, térkövezett kert oldalsó és hátsó kerti résszel
- 17 m²‑es fedett kerti pavilon
- Automata öntözőrendszer
- Fedett gépkocsi beálló (elektromos autó töltési lehetőséggel), elektromos udvari kapu
Műszaki tartalom, felújítás
- Falazat: tégla, 10 cm hőszigeteléssel
- Tájolás: kelet–nyugat (jó benapozottság, átszellőzés)
- Nyílászárók: háromrétegű, hőszigetelt műanyag ablakok redőnnyel; belső ajtók fa kivitelben
- Burkolatok: prémium kerámia és laminált parketta helyiségtől függően
- Fűtés: kondenzációs gázkazán + radiátoros fűtési rendszer
- Közművek: villany‑ és vízvezeték hálózat teljes cseréje
- Beépített szekrények, gardróbok a tárolás megkönnyítésére
- Szauna, klíma
- Biztonsági kamerarendszer, elektromos kapuk
- Mobil automata fűnyíró
Extrák, életmód, környezet
Tölgyes erdő közelsége: séták, sportolási lehetőségek, kutyasétáltatás, családi programok
Csendes, rendezett sorházas környék, jó szomszédsággal
Közelben üzletek, szolgáltatások, oktatási intézmények, buszmegállók – gyors elérés a belváros és a főbb közlekedési útvonalak felé.
Kinek ajánlott
Olyan vevőknek, akik nem akarnak a felújítással bajlódni, azonnal költözhető, magas műszaki színvonalú otthont keresnek.
Családoknak, akik értékelik a kertkapcsolatot, kerti pavilont, szaunát, garázst és fedett beállót, valamint a biztonságos, kertvárosias környezetet.
Hosszú távra tervező, értékállóságot kereső vevőknek, akik számára fontos a Korányi‑kertvárosi lokáció presztízse.
Megtekintés, kapcsolat
Az ingatlan rugalmas időpontban, előzetes egyeztetés után megtekinthető; komoly érdeklődő számára alaprajz, helyiséglista is rendelkezésre áll.
Kérem hívjon bizalommal!
Reichert Róbert
+36 30 9839-036 FIX 3% lakáshitelre megvehető

